Project: SP500 Companies#
import seaborn as sns
import numpy as np
import matplotlib.pyplot as plt
import pandas as pd
sectors = pd.read_html('https://en.wikipedia.org/wiki/List_of_S%26P_500_companies')[0]['GICS Sector'].to_list()
years = pd.read_html('https://en.wikipedia.org/wiki/List_of_S%26P_500_companies')[0]['Founded'].to_list()
companies = pd.read_html('https://en.wikipedia.org/wiki/List_of_S%26P_500_companies')[0]['Security'].to_list()
Sectors#
num_stocks = len(sectors)
num_stocks
503
Unique Sectors#
unique_sectors = []
for sector in sectors:
if sector not in unique_sectors:
unique_sectors.append(sector)
unique_sectors
['Industrials',
'Health Care',
'Information Technology',
'Utilities',
'Financials',
'Materials',
'Consumer Discretionary',
'Real Estate',
'Communication Services',
'Consumer Staples',
'Energy']
len(unique_sectors)
11
Frequencies of the Sectors#
sector_frequency = {}
for sector in sectors:
sector_frequency[sector] = sector_frequency.get(sector, 0)+1
sector_frequency
{'Industrials': 78,
'Health Care': 60,
'Information Technology': 69,
'Utilities': 31,
'Financials': 73,
'Materials': 26,
'Consumer Discretionary': 51,
'Real Estate': 31,
'Communication Services': 23,
'Consumer Staples': 38,
'Energy': 23}
total = 0
for frequency in sector_frequency.values():
total += frequency
total
503
most_frequent, highest_frequency = '', 0
for sector, frequency in sector_frequency.items():
if frequency > highest_frequency:
most_frequent, highest_frequency = sector, frequency
most_frequent, highest_frequency
('Industrials', 78)
least_frequent, lowest_frequency = '', len(sectors)
for sector, frequency in sector_frequency.items():
if frequency < lowest_frequency:
least_frequent, lowest_frequency = sector, frequency
least_frequent, lowest_frequency
('Communication Services', 23)
Visualization of Frequencies#
plt.figure(figsize=(15,5))
plt.title('SP500 Sectors')
plt.bar(sector_frequency.keys(), sector_frequency.values())
plt.xticks(rotation=90);

sorted_frequency_list = list(sector_frequency.values())
sorted_frequency_list
[78, 60, 69, 31, 73, 26, 51, 31, 23, 38, 23]
sorted_frequency_list.sort(reverse=True)
sorted_frequency_list
[78, 73, 69, 60, 51, 38, 31, 31, 26, 23, 23]
sorted_sector_list = []
for sorted_frequency in sorted_frequency_list:
for sector, frequency in sector_frequency.items():
if (frequency == sorted_frequency) & (sector not in sorted_sector_list):
sorted_sector_list.append(sector)
sorted_sector_list
['Industrials',
'Financials',
'Information Technology',
'Health Care',
'Consumer Discretionary',
'Consumer Staples',
'Utilities',
'Real Estate',
'Materials',
'Communication Services',
'Energy']
plt.figure(figsize=(15,5))
plt.title('SP500 Sectors')
plt.bar(sorted_sector_list, sorted_frequency_list)
plt.xticks(rotation=90);

Years#
len(years)
503
type(years[0])
str
years
['1902',
'1916',
'1888',
'2013 (1888)',
'1989',
'1982',
'1969',
'1981',
'1955',
'1999',
'1940',
'2008',
'1998',
'1994',
'1994',
'1997',
'1908',
'1917',
'1931',
'1998',
'1998',
'1985',
'1994',
'2019 (1860)',
'1902',
'1906',
'1850',
'1919',
'1995',
'1886',
'1894',
'1930',
'1980',
'1932',
'1965',
'1969',
'1982 (1919)',
'1954',
'1990',
'1977',
'1967',
'1994',
'1995',
'1902',
'2004',
'1927',
'1892',
'1983 (1885)',
'1906',
'1982',
'1949',
'1979',
'1978',
'1935',
'1993',
'2017',
'1880',
'1998 (1923 / 1874)',
'1931',
'1897',
'1839',
'1966',
'1976',
'1978',
'1988',
'1985',
'1784',
'1916',
'1996',
'1979',
'1989 (1887)',
'1961',
'1962',
'1939',
'1870',
'1998',
'1818',
'1970',
'1905',
'1988',
'1973',
'1981',
'1869',
'1994',
'1971',
'1993',
'1972',
'2020 (1915, United Technologies spinoff)',
'1925',
'1973',
'1906',
'1984',
'1985',
'1984',
'1882',
'1946',
'1947',
'1971',
'1993',
'1879',
'1993',
'1985',
'1847',
'1982',
'1950',
'1929',
'1984',
'1998',
'1828',
'1913',
'1848',
'1886',
'1886',
'1994',
'1806',
'1963',
'1919',
'2002',
'1823',
'1945',
'1999',
'1958',
'1982',
'1851',
'2000',
'2019',
'1987',
'1976',
'2021 (1989)',
'2011',
'1994',
'1980',
'1919',
'1996',
'1969',
'1938',
'1979',
'1992',
'1973',
'1837',
'2016',
'1929',
'1971',
'1999',
'2007',
'2004',
'1985',
'1939',
'1986',
'1983',
'1960',
'2012',
'1955',
'2019 (1897)',
'1978',
'1995',
'1904',
'2017 (1802)',
'1920',
'1911',
'1995',
'1923',
'1886',
'1958',
'1982',
'2014 (1946)',
'1890',
'2006',
'1913',
'1999',
'1993',
'1888',
'1899',
'1998',
'1969',
'1925',
'1971',
'1946',
'1973',
'1909',
'1966',
'2000',
'1989',
'1996',
'1979',
'1977',
'1999',
'1996',
'1978',
'1956',
'1967',
'1962',
'1971',
'1968',
'1858',
'1999',
'1997',
'1984',
'1903',
'2000',
'2016',
'2019',
'2019',
'1947',
'1912',
'1989',
'1979',
'1892',
'1994',
'2024',
'1982',
'1959',
'1899',
'1856',
'1908',
'1925',
'1987',
'2000',
'1900',
'1997',
'1869',
'1919',
'1810',
'1923',
'1968',
'1985',
'1932',
'1894',
'1919',
'2015',
'1919',
'1985',
'1978',
'1906',
'1891',
'1993',
'1888',
'1939 (2015)',
'1888',
'1961',
'1866',
'2011',
'1911',
'1988',
'1983',
'1912',
'1991',
'1859',
'2000',
'1968',
'2000',
'1958 (1889)',
'1898',
'1961 (1930)',
'1983',
'1995',
'1935',
'2012',
'1982',
'1951',
'1961',
'1966',
'1976',
'1947',
'1886',
'1885',
'2000 (1799 / 1871)',
'1996',
'1906',
'2022 (Johnson & Johnson spinoff)',
'1981',
'1825',
'2014 (1939)',
'1872',
'1958',
'1997',
'1976',
'1975/1977 (1997)',
'2015 (1869)',
'1883',
'2019 (L3 1997, Harris 1895)',
'1978',
'1980',
'2016 (1950)',
'1988',
'1969',
'1954',
'1895',
'1876',
'1879',
'2010',
'1998',
'1995',
'1959',
'1904/1946/1959',
'1998',
'2007',
'1856',
'2009 (1887)',
'2000',
'1927',
'1905',
'1993',
'1929',
'1966',
'1986',
'1889',
'1940',
'1833',
'1949',
'1891',
'2004',
'1868',
'1945',
'1986',
'1989',
'1978',
'1975',
'1977',
'2010',
'1878',
'1980',
'2005 (Molson 1786, Coors 1873)',
'2012',
'1997',
'2012 (1935)',
'1909',
'1935',
'2004 (1865 / 1909)',
'1928 (2011)',
'1969',
'1971',
'1992',
'1997',
'1921',
'2013 (News Corporation 1980)',
'2013 (News Corporation 1980)',
'1984 (1925)',
'1964',
'1912',
'1935',
'1881/1894 (1980)',
'1889',
'1994 (Northrop 1939, Grumman 1930)',
'2011 (1966)',
'1992',
'1940',
'1993',
'1980',
'1953',
'1957',
'1920',
'1934',
'1986',
'1999',
'1906',
'1977',
'2020 (1853, United Technologies spinoff)',
'1905',
'1959',
'2003',
'2005',
'2019 (Paramount Pictures 1912)',
'1917',
'1971',
'1998',
'1998',
'1966',
'1898',
'1849',
'1905',
'2008 (1847)',
'2012 (1917)',
'1985',
'1845',
'1993',
'1883',
'1920',
'1879',
'1837',
'1937',
'1983',
'1875',
'1903',
'1985',
'1972',
'1956',
'1997',
'1985',
'1967',
'1967',
'1962',
'1922',
'1969',
'1963',
'1988',
'1971',
'1998 (1981)',
'1989',
'1937',
'1903',
'1948',
'1981',
'1982',
'1997',
'1917',
'1999',
'1989',
'1926',
'1979',
'1998',
'2003',
'1866',
'2003',
'2002',
'1897',
'1934',
'1920',
'2023',
'1945',
'1967',
'1843',
'1971',
'1792',
'1993',
'1985',
'1941',
'1993',
'2003',
'1986',
'1969',
'1994',
'1937',
'1993',
'2017',
'2005',
'1902',
'2007',
'1960',
'1960',
'2003',
'1930',
'1888',
'1923',
'2006 (1902)',
'1987',
'2023',
'1938',
'1871',
'1993',
'1853',
'1978',
'1872',
'1966',
'1935',
'1968',
'2009',
'1972',
'1990',
'1862',
'1967',
'1907',
'1997',
'1977',
'1979',
'1980',
'1998',
'2023',
'1995',
'1971',
'1983 (1877)',
'1989',
'1961',
'2017',
'1958',
'2016',
'1909',
'1967',
'1927',
'1999 (1869)',
'2014',
'1962',
'1923',
'2022 (Warner Bros. 1923)',
'1968',
'1958',
'1896',
'1852',
'1970',
'1923',
'1970',
'1900',
'1956',
'1908',
'2016',
'2005',
'2002',
'1909',
'2011',
'1997',
'1969',
'1927',
'1952']
for year in years:
if len(year) > 4:
print(year)
2013 (1888)
2019 (1860)
1982 (1919)
1983 (1885)
1998 (1923 / 1874)
1989 (1887)
2020 (1915, United Technologies spinoff)
2021 (1989)
2019 (1897)
2017 (1802)
2014 (1946)
1939 (2015)
1958 (1889)
1961 (1930)
2000 (1799 / 1871)
2022 (Johnson & Johnson spinoff)
2014 (1939)
1975/1977 (1997)
2015 (1869)
2019 (L3 1997, Harris 1895)
2016 (1950)
1904/1946/1959
2009 (1887)
2005 (Molson 1786, Coors 1873)
2012 (1935)
2004 (1865 / 1909)
1928 (2011)
2013 (News Corporation 1980)
2013 (News Corporation 1980)
1984 (1925)
1881/1894 (1980)
1994 (Northrop 1939, Grumman 1930)
2011 (1966)
2020 (1853, United Technologies spinoff)
2019 (Paramount Pictures 1912)
2008 (1847)
2012 (1917)
1998 (1981)
2006 (1902)
1983 (1877)
1999 (1869)
2022 (Warner Bros. 1923)
Cleaning#
years_new = []
for year in years:
years_new.append(int(year[:4]))
years_new
[1902,
1916,
1888,
2013,
1989,
1982,
1969,
1981,
1955,
1999,
1940,
2008,
1998,
1994,
1994,
1997,
1908,
1917,
1931,
1998,
1998,
1985,
1994,
2019,
1902,
1906,
1850,
1919,
1995,
1886,
1894,
1930,
1980,
1932,
1965,
1969,
1982,
1954,
1990,
1977,
1967,
1994,
1995,
1902,
2004,
1927,
1892,
1983,
1906,
1982,
1949,
1979,
1978,
1935,
1993,
2017,
1880,
1998,
1931,
1897,
1839,
1966,
1976,
1978,
1988,
1985,
1784,
1916,
1996,
1979,
1989,
1961,
1962,
1939,
1870,
1998,
1818,
1970,
1905,
1988,
1973,
1981,
1869,
1994,
1971,
1993,
1972,
2020,
1925,
1973,
1906,
1984,
1985,
1984,
1882,
1946,
1947,
1971,
1993,
1879,
1993,
1985,
1847,
1982,
1950,
1929,
1984,
1998,
1828,
1913,
1848,
1886,
1886,
1994,
1806,
1963,
1919,
2002,
1823,
1945,
1999,
1958,
1982,
1851,
2000,
2019,
1987,
1976,
2021,
2011,
1994,
1980,
1919,
1996,
1969,
1938,
1979,
1992,
1973,
1837,
2016,
1929,
1971,
1999,
2007,
2004,
1985,
1939,
1986,
1983,
1960,
2012,
1955,
2019,
1978,
1995,
1904,
2017,
1920,
1911,
1995,
1923,
1886,
1958,
1982,
2014,
1890,
2006,
1913,
1999,
1993,
1888,
1899,
1998,
1969,
1925,
1971,
1946,
1973,
1909,
1966,
2000,
1989,
1996,
1979,
1977,
1999,
1996,
1978,
1956,
1967,
1962,
1971,
1968,
1858,
1999,
1997,
1984,
1903,
2000,
2016,
2019,
2019,
1947,
1912,
1989,
1979,
1892,
1994,
2024,
1982,
1959,
1899,
1856,
1908,
1925,
1987,
2000,
1900,
1997,
1869,
1919,
1810,
1923,
1968,
1985,
1932,
1894,
1919,
2015,
1919,
1985,
1978,
1906,
1891,
1993,
1888,
1939,
1888,
1961,
1866,
2011,
1911,
1988,
1983,
1912,
1991,
1859,
2000,
1968,
2000,
1958,
1898,
1961,
1983,
1995,
1935,
2012,
1982,
1951,
1961,
1966,
1976,
1947,
1886,
1885,
2000,
1996,
1906,
2022,
1981,
1825,
2014,
1872,
1958,
1997,
1976,
1975,
2015,
1883,
2019,
1978,
1980,
2016,
1988,
1969,
1954,
1895,
1876,
1879,
2010,
1998,
1995,
1959,
1904,
1998,
2007,
1856,
2009,
2000,
1927,
1905,
1993,
1929,
1966,
1986,
1889,
1940,
1833,
1949,
1891,
2004,
1868,
1945,
1986,
1989,
1978,
1975,
1977,
2010,
1878,
1980,
2005,
2012,
1997,
2012,
1909,
1935,
2004,
1928,
1969,
1971,
1992,
1997,
1921,
2013,
2013,
1984,
1964,
1912,
1935,
1881,
1889,
1994,
2011,
1992,
1940,
1993,
1980,
1953,
1957,
1920,
1934,
1986,
1999,
1906,
1977,
2020,
1905,
1959,
2003,
2005,
2019,
1917,
1971,
1998,
1998,
1966,
1898,
1849,
1905,
2008,
2012,
1985,
1845,
1993,
1883,
1920,
1879,
1837,
1937,
1983,
1875,
1903,
1985,
1972,
1956,
1997,
1985,
1967,
1967,
1962,
1922,
1969,
1963,
1988,
1971,
1998,
1989,
1937,
1903,
1948,
1981,
1982,
1997,
1917,
1999,
1989,
1926,
1979,
1998,
2003,
1866,
2003,
2002,
1897,
1934,
1920,
2023,
1945,
1967,
1843,
1971,
1792,
1993,
1985,
1941,
1993,
2003,
1986,
1969,
1994,
1937,
1993,
2017,
2005,
1902,
2007,
1960,
1960,
2003,
1930,
1888,
1923,
2006,
1987,
2023,
1938,
1871,
1993,
1853,
1978,
1872,
1966,
1935,
1968,
2009,
1972,
1990,
1862,
1967,
1907,
1997,
1977,
1979,
1980,
1998,
2023,
1995,
1971,
1983,
1989,
1961,
2017,
1958,
2016,
1909,
1967,
1927,
1999,
2014,
1962,
1923,
2022,
1968,
1958,
1896,
1852,
1970,
1923,
1970,
1900,
1956,
1908,
2016,
2005,
2002,
1909,
2011,
1997,
1969,
1927,
1952]
min(years_new)
1784
years_new.index(min(years_new))
66
companies[years_new.index(min(years_new))]
'BNY Mellon'
max(years_new)
2024
companies[years_new.index(max(years_new))]
'GE Vernova'
Histogram#
sns.histplot(years_new, bins=30);

Centuries#
min(years_new), max(years_new)
(1784, 2024)
century_dict = {}
for year in years_new:
if year < 1800:
century_dict['18th_century'] = century_dict.get('18th_century', 0) + 1
elif year < 1900:
century_dict['19th_century'] = century_dict.get('19th_century', 0) + 1
elif year < 2000:
century_dict['20th_century'] = century_dict.get('20th_century', 0) + 1
else:
century_dict['21th_century'] = century_dict.get('21th_century', 0) + 1
century_dict
{'20th_century': 352,
'19th_century': 72,
'21th_century': 77,
'18th_century': 2}
plt.figure(figsize=(5,5))
plt.title('SP500 Sectors')
plt.bar(century_dict.keys(), century_dict.values())
plt.xticks(rotation=30);

Sectors and Years#
sector_year_dict = {sector:[] for sector in unique_sectors}
for i in range(num_stocks):
sector_year_dict[sectors[i]].append(years_new[i])
sector_year_dict
{'Industrials': [1902,
1916,
1908,
1930,
1949,
1993,
1916,
1962,
1998,
1905,
2020,
1925,
1929,
1982,
1980,
1919,
1992,
1837,
1929,
1955,
1911,
1890,
1899,
1979,
1967,
1971,
2016,
1892,
2024,
1959,
1899,
1906,
1888,
1888,
2011,
1988,
1912,
1859,
1961,
1947,
1885,
2019,
1969,
1895,
1995,
1929,
1935,
1881,
1994,
1934,
2020,
1905,
1917,
1971,
1998,
1966,
1997,
1922,
1998,
1903,
1948,
1920,
1967,
1843,
1923,
1871,
1993,
2009,
1862,
1967,
1907,
1997,
2023,
1971,
1927,
1999,
1968,
2011],
'Health Care': [1888,
2013,
1999,
1997,
1980,
1931,
1897,
1976,
1978,
1979,
1989,
1971,
1985,
1984,
1947,
1982,
1958,
1996,
1969,
1979,
1999,
1958,
2014,
1994,
1987,
1968,
1932,
1985,
1961,
1983,
1991,
2000,
1995,
1982,
1886,
1978,
1876,
1833,
1949,
1891,
1945,
2010,
1980,
1849,
1967,
1988,
1989,
1937,
2023,
1985,
1941,
2006,
1977,
1979,
1989,
1961,
1958,
1923,
1927,
1952],
'Information Technology': [1989,
1982,
1969,
1998,
1932,
1965,
1969,
1977,
1967,
2004,
1982,
1961,
1988,
1984,
1984,
1994,
1851,
2011,
2016,
2006,
1993,
1996,
1956,
1999,
2000,
1979,
1982,
1997,
2015,
1939,
1911,
1968,
1983,
1966,
1996,
2014,
1975,
1980,
1989,
1978,
1975,
1997,
1928,
1992,
1993,
1953,
1999,
1977,
2003,
2005,
1985,
1985,
1981,
1999,
1979,
2003,
2002,
1993,
1986,
2007,
1960,
1960,
1930,
1978,
1966,
1995,
1970,
2005,
1969],
'Utilities': [1981,
1917,
1902,
1906,
1886,
1906,
1882,
1886,
1823,
1999,
1983,
1995,
1904,
1886,
1913,
1909,
1966,
2000,
1997,
1984,
1912,
1992,
1905,
1985,
1920,
1903,
1998,
1945,
2016,
1896,
1909],
'Financials': [1955,
1931,
1850,
1919,
1894,
1982,
1990,
1995,
1927,
1892,
1998,
1839,
1988,
1985,
1784,
1939,
1994,
1973,
1971,
1985,
1950,
1998,
1828,
1848,
2000,
1985,
1925,
1973,
1978,
1968,
1858,
1984,
1947,
2000,
1900,
1869,
1810,
1866,
2000,
1935,
1976,
2000,
1825,
1976,
1959,
1856,
2000,
1905,
1966,
1868,
1909,
1935,
1969,
1971,
1889,
1998,
1845,
1879,
1937,
1875,
1962,
1971,
1917,
1792,
2003,
1937,
1853,
1872,
1968,
1958,
1967,
1852,
2016],
'Materials': [1940,
1994,
2019,
1935,
1880,
1946,
2019,
2019,
2017,
1920,
1923,
1912,
1958,
1898,
1879,
2007,
1993,
2004,
1921,
1940,
1959,
1883,
1866,
1934,
1993,
1909],
'Consumer Discretionary': [2008,
1994,
1994,
1979,
1966,
1996,
1973,
1993,
1972,
1993,
1938,
1973,
1960,
2012,
1978,
1995,
1996,
1903,
1989,
1908,
1925,
1923,
1919,
1978,
1988,
1954,
1998,
1904,
1998,
1927,
1940,
1986,
1878,
1964,
2011,
1980,
1957,
1993,
1956,
1967,
1982,
1997,
1971,
2017,
2003,
1987,
1938,
1990,
1956,
2002,
1997],
'Real Estate': [1994,
1995,
1978,
1970,
1981,
1906,
1987,
1994,
2004,
1998,
1969,
1971,
1977,
1962,
1985,
1993,
2012,
1951,
1958,
1977,
1983,
1972,
1969,
1963,
1989,
2003,
1972,
1998,
2017,
1970,
1900],
'Communication Services': [1998,
1998,
1983,
1993,
1963,
1982,
2019,
2019,
1961,
2010,
1986,
2004,
1997,
2013,
2013,
1986,
2019,
1994,
1993,
2023,
1983,
1923,
2022],
'Consumer Staples': [1985,
1902,
1870,
1818,
1869,
1847,
1913,
1886,
1806,
1919,
1945,
1976,
1939,
1986,
1946,
1856,
1894,
1891,
1906,
2022,
1981,
1872,
2015,
1883,
2016,
1889,
2005,
2012,
2012,
1898,
2008,
1837,
1897,
1969,
1902,
1935,
2014,
1962],
'Energy': [1954,
2017,
1879,
2002,
2021,
1971,
2007,
1999,
1888,
1989,
1999,
1919,
1919,
1997,
2009,
1920,
1906,
2012,
1926,
2005,
1888,
1980,
1908]}
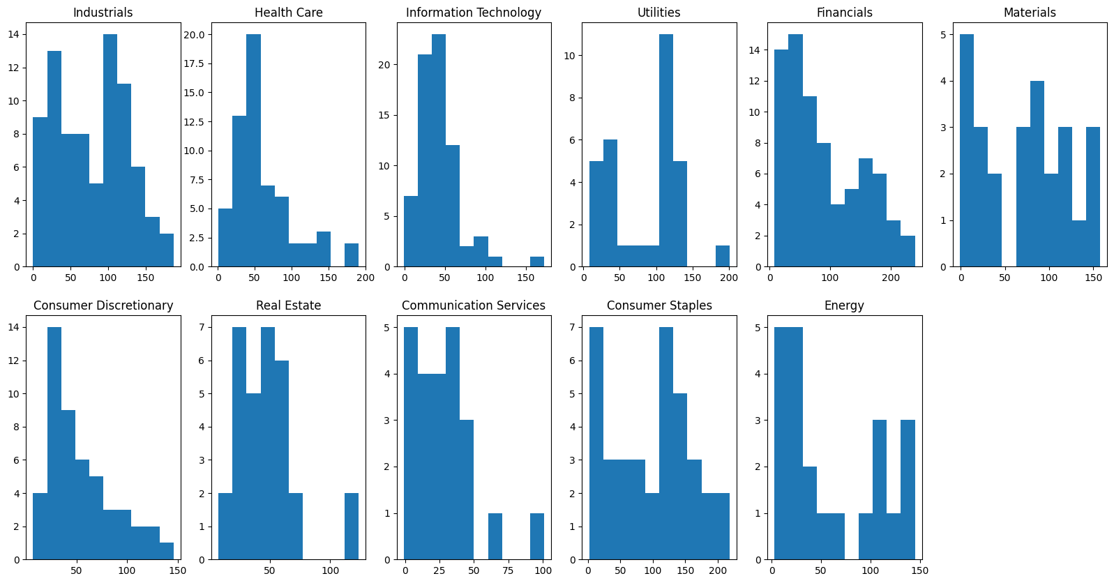
plt.figure(figsize=(20,8))
k = 1
for sector in sector_year_dict.keys():
plt.subplot(2, len(sector_year_dict)//2+1,k)
plt.hist(sector_year_dict[sector])
plt.title(sector)
k += 1;

plt.figure(figsize=(20,8))
k = 1
for sector in sector_year_dict.keys():
plt.subplot(2, len(sector_year_dict)//2+1,k)
sns.boxplot(sector_year_dict[sector])
plt.title(sector)
k += 1;

Ages#
current_year = 2024
ages = [current_year-i for i in years_new]
ages[:5]
[122, 108, 136, 11, 35]
plt.figure(figsize=(5,5))
sns.histplot(ages);

sector_age_dict = {sector:[] for sector in unique_sectors}
for i in range(num_stocks):
sector_age_dict[sectors[i]].append(current_year-years_new[i])
sector_age_dict
{'Industrials': [122,
108,
116,
94,
75,
31,
108,
62,
26,
119,
4,
99,
95,
42,
44,
105,
32,
187,
95,
69,
113,
134,
125,
45,
57,
53,
8,
132,
0,
65,
125,
118,
136,
136,
13,
36,
112,
165,
63,
77,
139,
5,
55,
129,
29,
95,
89,
143,
30,
90,
4,
119,
107,
53,
26,
58,
27,
102,
26,
121,
76,
104,
57,
181,
101,
153,
31,
15,
162,
57,
117,
27,
1,
53,
97,
25,
56,
13],
'Health Care': [136,
11,
25,
27,
44,
93,
127,
48,
46,
45,
35,
53,
39,
40,
77,
42,
66,
28,
55,
45,
25,
66,
10,
30,
37,
56,
92,
39,
63,
41,
33,
24,
29,
42,
138,
46,
148,
191,
75,
133,
79,
14,
44,
175,
57,
36,
35,
87,
1,
39,
83,
18,
47,
45,
35,
63,
66,
101,
97,
72],
'Information Technology': [35,
42,
55,
26,
92,
59,
55,
47,
57,
20,
42,
63,
36,
40,
40,
30,
173,
13,
8,
18,
31,
28,
68,
25,
24,
45,
42,
27,
9,
85,
113,
56,
41,
58,
28,
10,
49,
44,
35,
46,
49,
27,
96,
32,
31,
71,
25,
47,
21,
19,
39,
39,
43,
25,
45,
21,
22,
31,
38,
17,
64,
64,
94,
46,
58,
29,
54,
19,
55],
'Utilities': [43,
107,
122,
118,
138,
118,
142,
138,
201,
25,
41,
29,
120,
138,
111,
115,
58,
24,
27,
40,
112,
32,
119,
39,
104,
121,
26,
79,
8,
128,
115],
'Financials': [69,
93,
174,
105,
130,
42,
34,
29,
97,
132,
26,
185,
36,
39,
240,
85,
30,
51,
53,
39,
74,
26,
196,
176,
24,
39,
99,
51,
46,
56,
166,
40,
77,
24,
124,
155,
214,
158,
24,
89,
48,
24,
199,
48,
65,
168,
24,
119,
58,
156,
115,
89,
55,
53,
135,
26,
179,
145,
87,
149,
62,
53,
107,
232,
21,
87,
171,
152,
56,
66,
57,
172,
8],
'Materials': [84,
30,
5,
89,
144,
78,
5,
5,
7,
104,
101,
112,
66,
126,
145,
17,
31,
20,
103,
84,
65,
141,
158,
90,
31,
115],
'Consumer Discretionary': [16,
30,
30,
45,
58,
28,
51,
31,
52,
31,
86,
51,
64,
12,
46,
29,
28,
121,
35,
116,
99,
101,
105,
46,
36,
70,
26,
120,
26,
97,
84,
38,
146,
60,
13,
44,
67,
31,
68,
57,
42,
27,
53,
7,
21,
37,
86,
34,
68,
22,
27],
'Real Estate': [30,
29,
46,
54,
43,
118,
37,
30,
20,
26,
55,
53,
47,
62,
39,
31,
12,
73,
66,
47,
41,
52,
55,
61,
35,
21,
52,
26,
7,
54,
124],
'Communication Services': [26,
26,
41,
31,
61,
42,
5,
5,
63,
14,
38,
20,
27,
11,
11,
38,
5,
30,
31,
1,
41,
101,
2],
'Consumer Staples': [39,
122,
154,
206,
155,
177,
111,
138,
218,
105,
79,
48,
85,
38,
78,
168,
130,
133,
118,
2,
43,
152,
9,
141,
8,
135,
19,
12,
12,
126,
16,
187,
127,
55,
122,
89,
10,
62],
'Energy': [70,
7,
145,
22,
3,
53,
17,
25,
136,
35,
25,
105,
105,
27,
15,
104,
118,
12,
98,
19,
136,
44,
116]}
plt.figure(figsize=(20,10))
k = 1
for sector in sector_age_dict.keys():
plt.subplot(2, len(sector_age_dict)//2+1,k)
plt.hist(sector_age_dict[sector])
plt.title(sector)
k += 1;

plt.figure(figsize=(20,10))
k = 1
for sector in sector_age_dict.keys():
plt.subplot(2, len(sector_age_dict)//2+1,k)
sns.histplot(sector_age_dict[sector])
plt.title(sector)
k += 1;

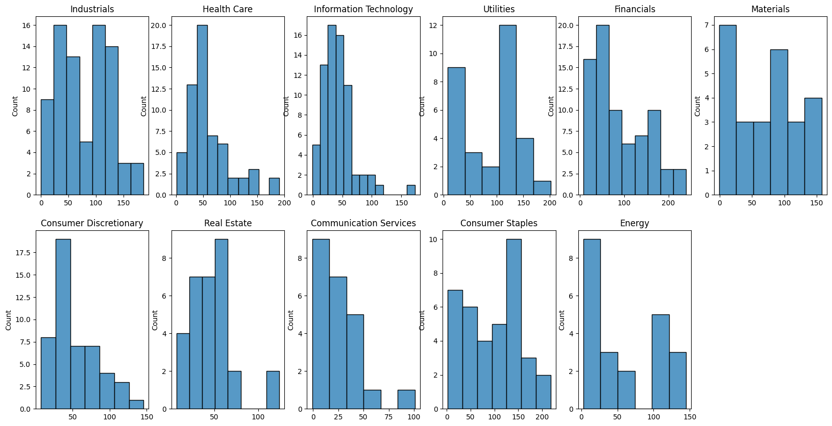
plt.figure(figsize=(20,8))
k = 1
for sector in sector_age_dict.keys():
plt.subplot(2, len(sector_age_dict)//2+1,k)
sns.boxplot(sector_age_dict[sector])
plt.title(sector)
k += 1;

import numpy as np
for sector, ages in sector_age_dict.items():
print(f'Sector: {sector:<25} Mean Age: {np.mean(ages):<10.2f} Median Age: {np.median(ages):.2f}')
Sector: Industrials Mean Age: 78.45 Median Age: 76.50
Sector: Health Care Mean Age: 59.90 Median Age: 45.50
Sector: Information Technology Mean Age: 44.00 Median Age: 40.00
Sector: Utilities Mean Age: 88.32 Median Age: 111.00
Sector: Financials Mean Age: 92.23 Median Age: 74.00
Sector: Materials Mean Age: 75.23 Median Age: 84.00
Sector: Consumer Discretionary Mean Age: 53.29 Median Age: 45.00
Sector: Real Estate Mean Age: 46.65 Median Age: 46.00
Sector: Communication Services Mean Age: 29.13 Median Age: 27.00
Sector: Consumer Staples Mean Age: 95.50 Median Age: 108.00
Sector: Energy Mean Age: 62.48 Median Age: 44.00
sector_age_mean_list = [np.mean(ages) for ages in sector_age_dict.values()]
plt.figure(figsize=(15,5))
plt.title('SP500 Sectors')
plt.bar(sector_age_dict.keys(), sector_age_mean_list)
plt.xticks(rotation=90);

sorted_sector_age_mean_list = sector_age_mean_list.copy()
sorted_sector_age_mean_list
[78.44871794871794,
59.9,
44.0,
88.3225806451613,
92.23287671232876,
75.23076923076923,
53.294117647058826,
46.645161290322584,
29.130434782608695,
95.5,
62.47826086956522]
sorted_sector_age_mean_list.sort(reverse=True)
sorted_sector_age_mean_list
[95.5,
92.23287671232876,
88.3225806451613,
78.44871794871794,
75.23076923076923,
62.47826086956522,
59.9,
53.294117647058826,
46.645161290322584,
44.0,
29.130434782608695]
sorted_sector_age_list = []
for sorted_age_mean in sorted_sector_age_mean_list:
for i in range(len(sector_age_mean_list)):
if (sorted_age_mean == sector_age_mean_list[i]):
sorted_sector_age_list.append(list(sector_age_dict.keys())[i])
sorted_sector_age_list
['Consumer Staples',
'Financials',
'Utilities',
'Industrials',
'Materials',
'Energy',
'Health Care',
'Consumer Discretionary',
'Real Estate',
'Information Technology',
'Communication Services']
plt.figure(figsize=(15,5))
plt.title('SP500 Sectors')
plt.bar(sorted_sector_age_list, sorted_sector_age_mean_list)
plt.xticks(rotation=90);
